日期:2019-01-29 10:44 點擊:
經市教委審定,2019年上海市普通高校春季考試招生志愿填報最低成績控制線為:264分。
2019年上海市普通高校春季考試招生采用“統一文化考試+院校自主測試”的招生模式??忌y一文化考試成績總分(含政策性加分)須達到志愿填報最低成績控制線,其中應屆高三考生還須取得思想政治、歷史、地理、物理、化學、生命科學、信息技術7門科目高中學業水平合格性考試的全部合格成績,方有資格參加春考志愿填報。
近4年最低控分線回顧:
2018年=266分(百分比75.3%)
2017年=256分(百分比75.1%)
2016年=247分
2015年=242分
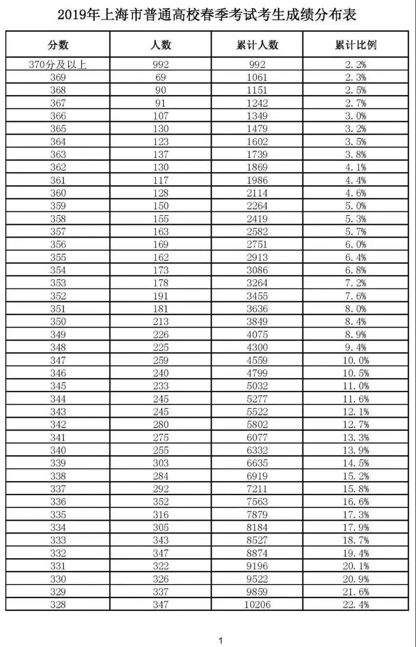
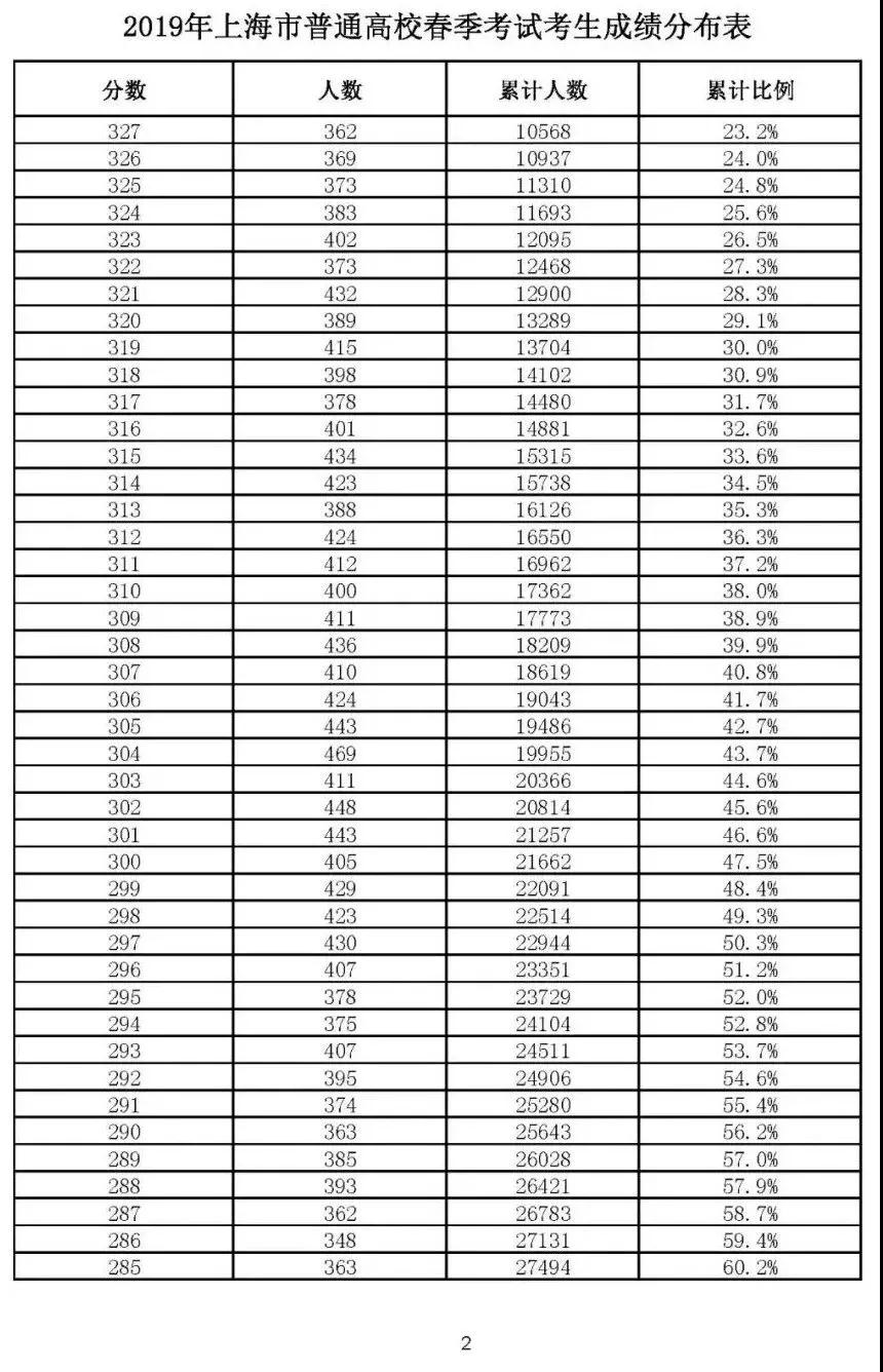
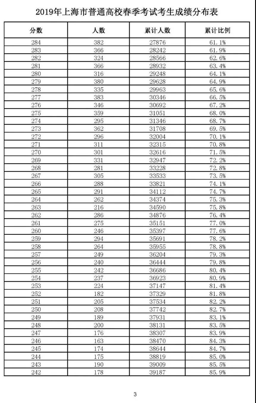
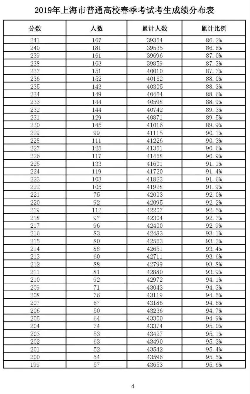
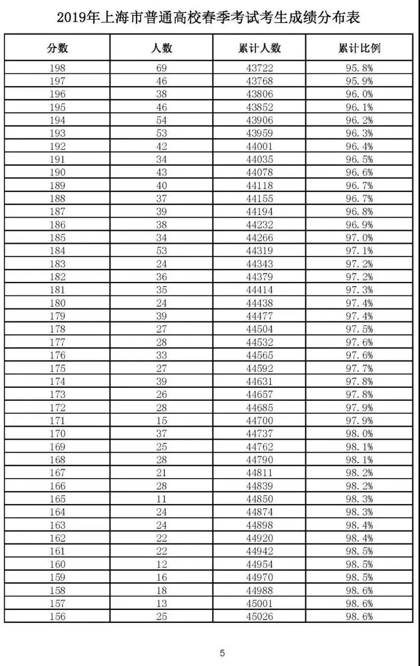
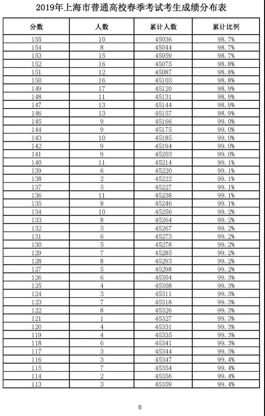
2019上海春考成績分布表







從成績分布表數據得知,近三年春考人數為:
2019年=45643人
2018年=45603人
2017年=40323人
1)這張表能夠清晰的看出每個分數在上海全市的排名是多少
表格共會有四列數據:
?、俜謹?大三門總分)
②人數(在全市中一共有多少人考了這個分數)
?、劾塾嬋藬?當前分數在全市中的名次)
?、鼙壤?當前分數在全市中的百分比,百分比=當前分數位次/參加春考總人數*100%)
2)這張表的數據是由“所有參加了1月春考的考生”組成
也就是說無法判斷這里面究竟有多少考生是真正打算填志愿的,所以只能進行參考,并不能直接作為填報志愿的依據。
附:2018年上海春考成績分布表
2019屆準備春考走掉的家長,應當綜合2018-2019年兩個表格的數據來填報志愿。

思源教育(原上海交大思源進修學院,簡稱思源教育)成立于1996年,自建校以來,秉承交大校訓,依托名校師資,提供專業的托班輔導、青少年英語輔導、小學輔導、初中輔導、高中輔導、高考高復、三校生高復、藝考生文化課等,學生遍及全市各區,至今已幫助六萬多余名學子取得優異成績,成功考入理想的各級院校!20余年來思源已成為“中考教學研究中心”、“中學個性化學習教育基地”、“快速學習法”實驗學校。
58351887 / 58352220 浦東八佰伴校區
(詳情請點擊) 浦東新區南泉北路1025號(近張楊路,明珠小學旁)62932552/62932882 思源中高考學習中心
(詳情請點擊) 徐匯區華山路1988號匯銀大廈北樓6樓619室63330788 人民廣場三校生高復校區
(詳情請點擊) 黃浦區延安東路700號港泰廣場708-1室021-56611361 普陀三校生高復校區
(詳情請點擊) 普陀區交通路4703弄28號一樓32035781/62581699 徐匯三校生高復校區
(詳情請點擊) 徐匯區廣元西路12號(工商銀行隔壁)50836650/58437313 浦東三校生高復校區
(詳情請點擊) 浦東新區南泉北路1025號2樓(近張楊路,明珠小學旁)021-55808106 楊浦三校生高復校區
(詳情請點擊) 楊浦區國賓路36號萬達廣場B座1404室021-64680311 思源外語徐匯校區
(詳情請點擊) 徐匯區南丹東路238號2層54162500/54162556 思源外語南方校區
(詳情請點擊) 閔行區古美路35號318室021-50933616 思源外語八佰伴校區
(詳情請點擊) 浦東新區浦東南路1138號上海灣三樓301-B021-53820050 黃浦校區
(詳情請點擊) 斜土路768號致遠大廈710室58209385/32123101 思源外語云臺路校區
(詳情請點擊) 浦東新區瀏河路19號19創意園2樓(近云臺路)55670526/31117286 楊浦大橋校區
(詳情請點擊) 楊浦區平涼路1128弄銀鹿大廈1號樓803室(近眉州路)