日期:2021-07-28 10:23 點擊:
剛剛,上海教委發布了2021年上海市中等職業學校提前批招生中本貫通、“五年一貫制”、中高職貫通各專業錄取最低分數線、2021年上海市中等職業學校自主招收隨遷子女中高職貫通各專業錄取最低分數線,以及2021年上海市中等職業學校自主招收隨遷子女缺額招生學校名單!具體如下:
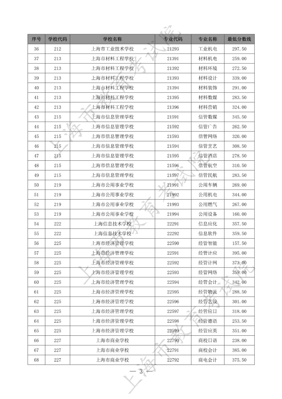
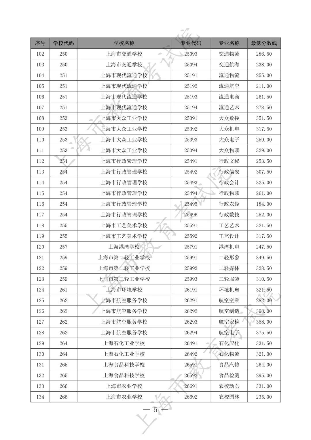
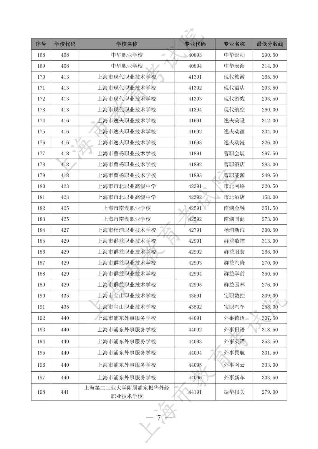
一、中本貫通、“五年一貫制”、中高職貫通貫、中職自主:










二、隨遷子女“五年一貫制”、隨遷子女中高職貫通(考試滿分450分)、 隨遷子女中職:








三、隨遷子女缺額招生學校名單


思源教育(原上海交大思源進修學院,簡稱思源教育)成立于1996年,自建校以來,秉承交大校訓,依托名校師資,提供專業的托班輔導、青少年英語輔導、小學輔導、初中輔導、高中輔導、高考高復、三校生高復、藝考生文化課等,學生遍及全市各區,至今已幫助六萬多余名學子取得優異成績,成功考入理想的各級院校!20余年來思源已成為“中考教學研究中心”、“中學個性化學習教育基地”、“快速學習法”實驗學校。
