日期:2021-06-23 17:14 點擊:
|
批次 |
分數(3+3科目) |
|
本科錄取控制分數線 |
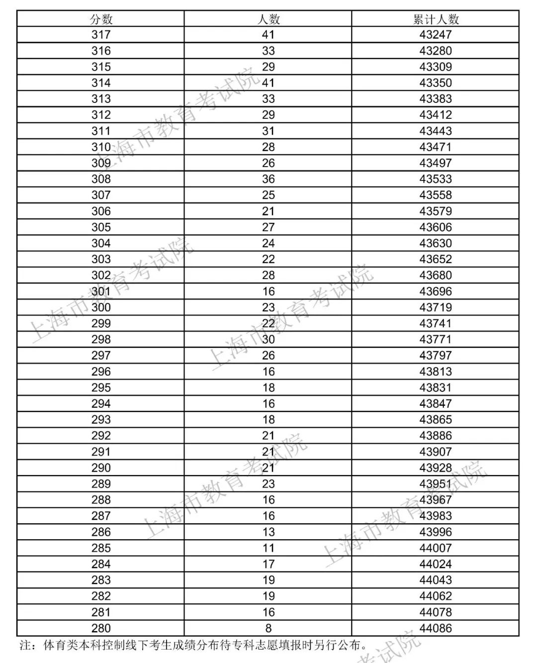
400 |
|
特殊類型招生控制分數線 |
503 |
|
藝術類本科文化控制分數線 |
300 |
|
體育類本科文化控制分數線 |
280 |
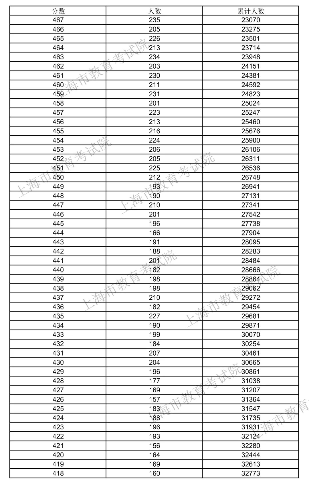
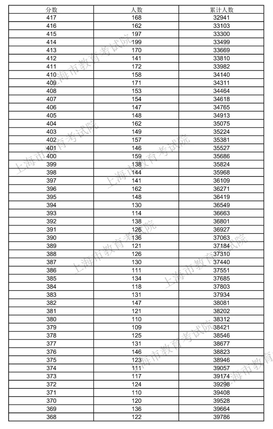
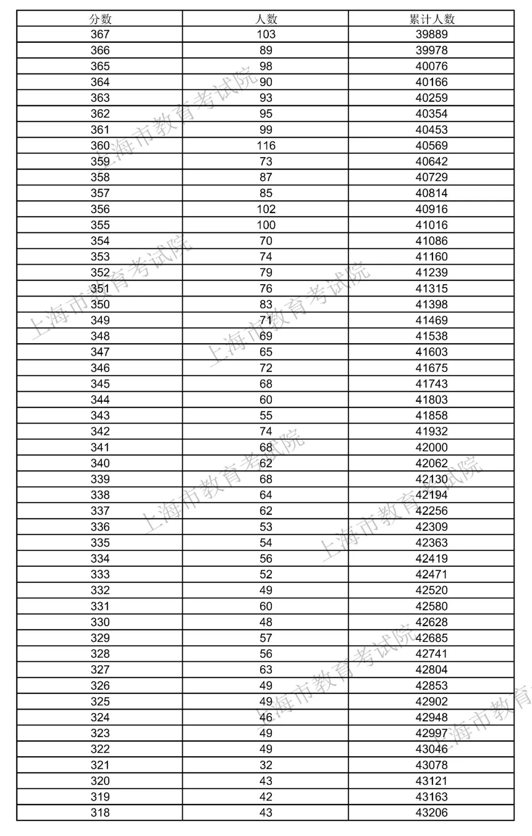
(注:本市高考本科成績滿分為660分)






思源教育(原上海交大思源進修學院,簡稱思源教育)成立于1996年,自建校以來,秉承交大校訓,依托名校師資,提供專業的托班輔導、青少年英語輔導、小學輔導、初中輔導、高中輔導、高考高復、三校生高復、藝考生文化課等,學生遍及全市各區,至今已幫助六萬多余名學子取得優異成績,成功考入理想的各級院校!20余年來思源已成為“中考教學研究中心”、“中學個性化學習教育基地”、“快速學習法”實驗學校。
