日期:2019-06-26 10:10 點擊:
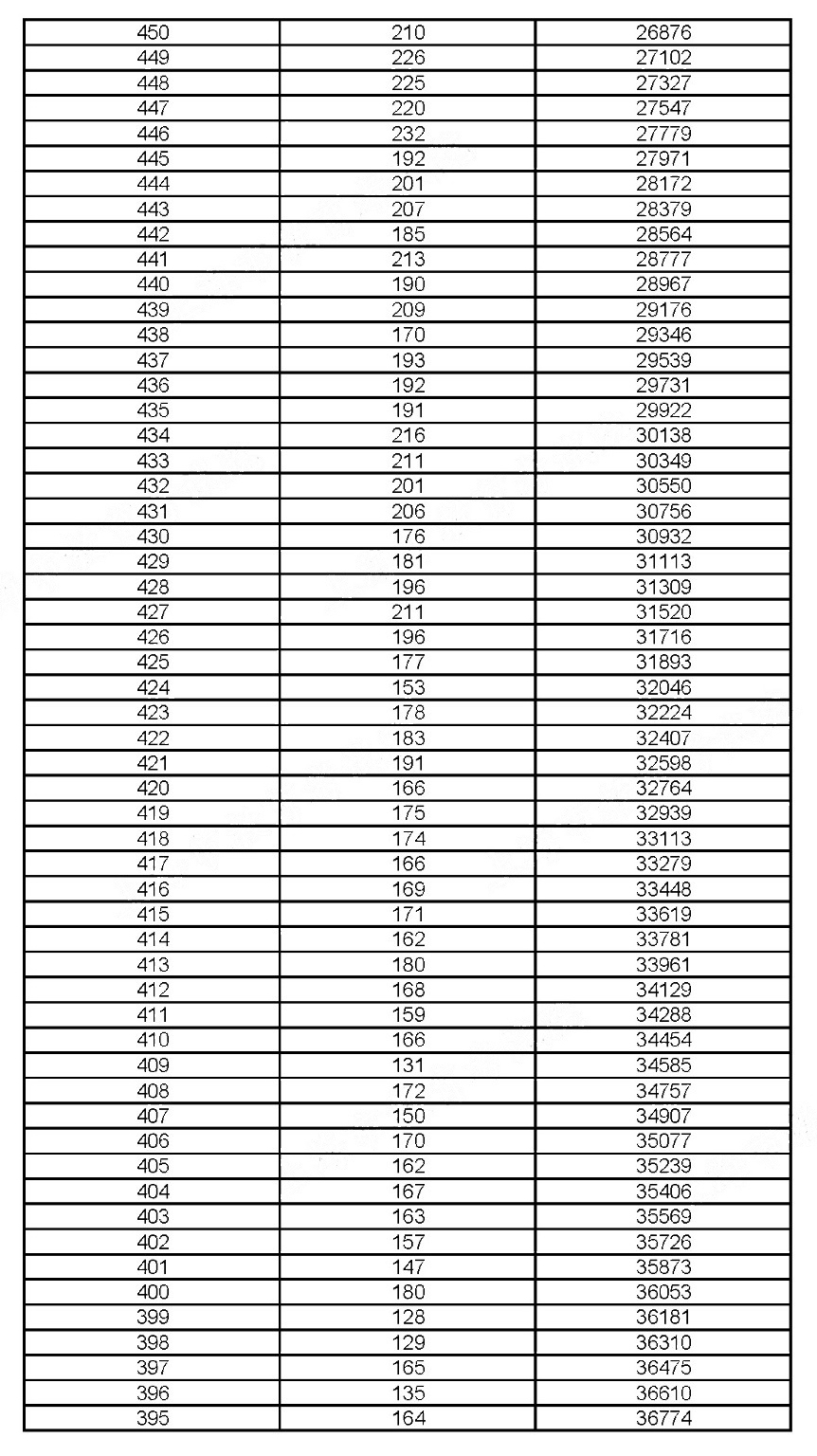
?為便于考生考后填報志愿,小編將2019年的高考成績的分布信息整理成表,大家可以參考此表看看自己的成績大概屬于什么層次。(成績來源:上海市教育考試院)。






思源教育(原上海交大思源進(jìn)修學(xué)院,簡稱思源教育)成立于1996年,自建校以來,秉承交大校訓(xùn),依托名校師資,提供專業(yè)的托班輔導(dǎo)、青少年英語輔導(dǎo)、小學(xué)輔導(dǎo)、初中輔導(dǎo)、高中輔導(dǎo)、高考高復(fù)、三校生高復(fù)、藝考生文化課等,學(xué)生遍及全市各區(qū),至今已幫助六萬多余名學(xué)子取得優(yōu)異成績,成功考入理想的各級院校!20余年來思源已成為“中考教學(xué)研究中心”、“中學(xué)個性化學(xué)習(xí)教育基地”、“快速學(xué)習(xí)法”實驗學(xué)校。
021-64680311 思源教育徐匯校區(qū)
(詳情請點擊) 徐匯區(qū)南丹東路238號2層62932552/62932882 思源中高考學(xué)習(xí)中心
(詳情請點擊) 徐匯區(qū)華山路1988號匯銀大廈北樓6樓619室32035781/62581699 徐匯三校生高復(fù)校區(qū)
(詳情請點擊) 徐匯區(qū)廣元西路12號(工商銀行隔壁)